SiC MOSFET具有輸入阻抗高、高頻性能好、單個驅動功率小和無需并聯均流控制等顯著優勢。隨著 SiC MOSFET 的發展和成熟,變流產品向著高頻、高功率密度、高可靠性的方向快速發展。
輸出短路保護設計
SiC MOSFET 的晶圓面積小于 IGBT 的晶圓面積,其散熱能力比 IGBT 差,一般 SiC MOSFET 發生短路故障后要求 2 μs 內關斷脈沖信號。
ACPL-355JC通過檢測 SiC MOSFET 的導通壓降( VDS) 是否超過內部設置的比較器閾值電壓進行短路保護,其工作原理如圖 3 所示。

ACPL-355JC 內部設置的比較器閾值電壓為9 V。當 SiC MOSFET 發生短路故障時,VDS大于9 V時,消隱電容充電電流 ( ICHG) 給消隱電容( CBLANK) 充電,當 ACPL - 355JC OC 引腳的電壓( VOC) 大于 9 V 時,觸發 ACPL-355JC 的保護動作。通 過 設 置 CBLANK的值來設定消隱時間( tBLANK) ,即

式中: tOC,BLANKING為內部消隱時間; VOC,INITIAL為 SiC MOSFET 正常導通時 ACPL-355JC 驅動模塊 OC 引腳的電壓值; ICHG= 1 mA。
當 SiC MOSFET 正常導通時,恒流源 ICHG通過電阻 ( RBLOCK) 、二極管 ( DBLOCK) 和 SiC MOSFET進行釋放。其 中,DBLOCK選擇高壓快恢復二極管( US1M) ,其反向耐壓為 1 000 V,導通壓降 ( VF )為 1. 7 V。
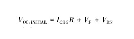
根據 SiC MOSFET ( C3M0075120J) 的手冊,正常工作時 SiC MOSFET 的導通壓降為 1 V。在保證 SiC MOSFET 正常導通時 VOC遠低于比較器閾值電壓 9 V 的前提下, RBLOCK選擇為 1 kΩ,則正常導通時VOC,INITIAL為

由式 ( 6) 可以求得 VOC,INITIAL= 3. 7 V。當圖 1 中升壓電感發生退飽和等故障導致電感值突減時,SiC MOSFET 會發生短路故障,導致流過SiC MOSFET 的電流迅速增加,此時應該保證 2 μs內觸發 ACPL-355JC 的保護功能以關斷脈沖信號。
CBLANK用于設置 tBLANK,tOC,BLANKING= 0. 4 μs。根據式( 5) 計 算 出 CBLANK< 302 pF。實 際 選 擇 CBLANK=220 pF,發生短路故障時理論保護時間為 1. 566 μs。
 
〈烜芯微/XXW〉專業制造二極管,三極管,MOS管,橋堆等,20年,工廠直銷省20%,上萬家電路電器生產企業選用,專業的工程師幫您穩定好每一批產品,如果您有遇到什么需要幫助解決的,可以直接聯系下方的聯系號碼或加QQ/微信,由我們的銷售經理給您精準的報價以及產品介紹
聯系號碼:18923864027(同微信)
QQ:709211280
 
                                
