運算放大器是一個內含多級放大電路的電子集成電路,其輸入級是差分放大電路,具有高輸入電阻和抑制零點漂移能力;中間級主要進行電壓放大,具有高電壓放大倍數,一般由共射極放大電路構成;輸出極與負載相連,具有帶載能力強、低輸出電阻特點。運算放大器的應用非常廣泛。
運算放大器有兩個輸入端 a(反相輸入端),b(同相輸入端)和一個輸出端 o。也分別被稱為倒向輸入端非倒向輸入端和輸出端。當電壓 U- 加在 a 端和公共端(公共端是電壓為零的點,它相當于電路中的參考結點。)之間,且其實際方向從 a 端高于公共端時,輸出電壓 U 實際方向則自公共端指向 o 端,即兩者的方向正好相反。當輸入電壓 U+加在 b 端和公共端之間,U 與 U+兩者的實際方向相對公共端恰好相同。為了區別起見,a 端和 b 端分別用"-"和"+"號標出,但不要將它們誤認為電壓參考方向的正負極性。
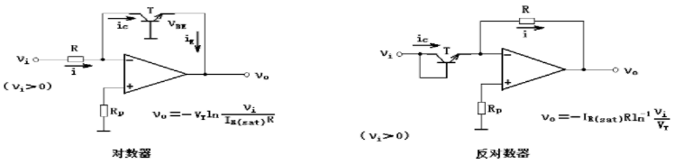
以下為您列舉了常用的運算放大器電路圖及基本公式:










烜芯微專業制造二極管,三極管,MOS管,橋堆等20年,工廠直銷省20%,4000家電路電器生產企業選用,專業的工程師幫您穩定好每一批產品,如果您有遇到什么需要幫助解決的,可以點擊右邊的工程師,或者點擊銷售經理給您精準的報價以及產品介紹










烜芯微專業制造二極管,三極管,MOS管,橋堆等20年,工廠直銷省20%,4000家電路電器生產企業選用,專業的工程師幫您穩定好每一批產品,如果您有遇到什么需要幫助解決的,可以點擊右邊的工程師,或者點擊銷售經理給您精準的報價以及產品介紹

